SVM原理详细图文教程来了!一行代码自动选择核函数,还有模型实用工具
SVM?老分类算法了,轻松拿下,然而……
贾浩楠 发自 凹非寺
量子位 报道 | 公众号 QbitAI
SVM?老分类算法了,轻松拿下。
然而,每一次老板让你讲解SVM,或每一次面试被问到SVM,却总是结结巴巴漏洞百出。
「这些人怎么总能精准发现我的盲点?」
简直让人怀疑自己掌握的是假SVM。
如果你有这样的问题,那这篇SVM数学原理对你会有很大帮助,一起来看看吧。
SVM 由线性分类开始
理解SVM,咱们必须先弄清楚一个概念:线性分类器。
给定一些数据点,它们分别属于两个不同的类,现在要找到一个线性分类器把这些数据分成两类。
如果用x表示数据点,用y表示类别(y可以取1或者-1,分别代表两个不同的类),一个线性分类器的目标是要在n维的数据空间中找到一个超平面(hyper plane),将x的数据点分成两类,且超平面距离两边的数据的间隔最大。
这个超平面的方程可以表示为( wT中的T代表转置):
△2维坐标系中,超平面是一条直线
当f(x)等于0的时候,x便是位于超平面上的点,而f(x)大于0的点对应 y=1 的数据点,f(x)小于0的点对应y=-1的点。
SVM 想要的就是找到各类样本点到超平面的距离最远,也就是找到最大间隔超平面。任意超平面可以用下面这个线性方程来描述:
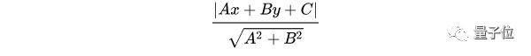
二维空间点(x,y)到直线Ax+By+C=0的距离公式是:
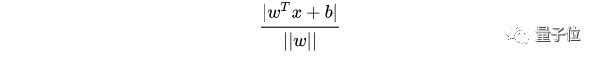
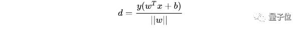
扩展到n维空间后,点x=(x1,x2……xn)到直线wTx+b=0的距离为:
其中 :
根据支持向量的定义,支持向量到超平面的距离为d,其他点到超平面的距离大于d。
于是有:
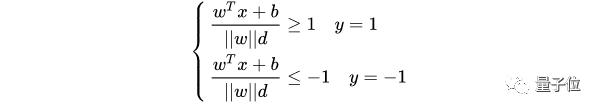
||w||d是正数,令它为 1(之所以令它等于 1,是为了方便推导和优化,且这样做对目标函数的优化没有影响),于是:
将两个方程合并,有:
至此,就得到了最大间隔超平面的上下两个超平面。
每个支持向量到超平面的距离可以写为:
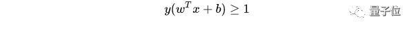
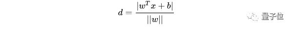
由 y(wTx+b)>1>0 可以得到 y(wTx+b)=|wTx+b|,所以可以将支持向量到超平面距离改写为:
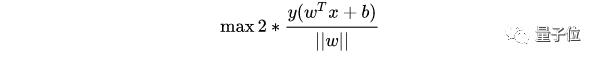
最大化这个距离:
这里乘上 2 倍是为了后面推导方便,对目标函数没有影响。
带入一个支持向量,可以得到:
所以得到的最优化问题是:
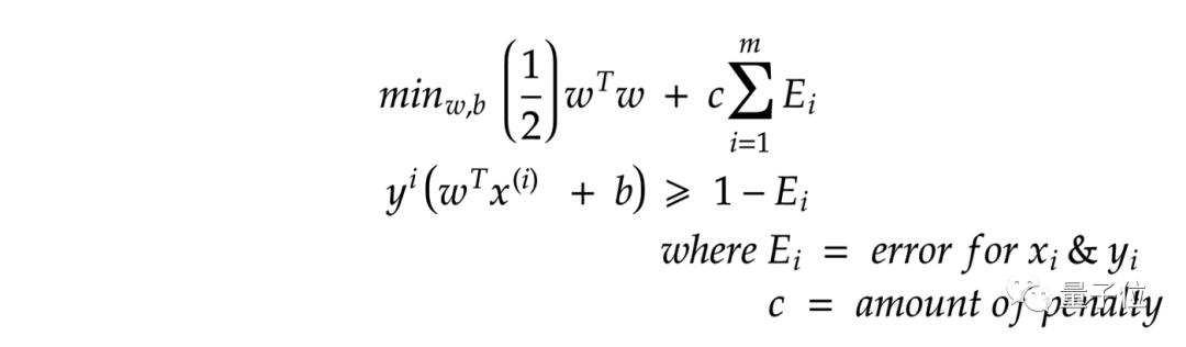
处理异常值
有时,对于某些点(x(i),y(i)),分类器可能会做出错误操作。
尽管在开发实际使用的SVM模型时,会设计冗余,避免过拟合,但仍然需要想办法将误差控制在一个较小的范围。
可以通过在模型中增加惩罚机制(用c表示)解决这个问题。
设SVM输出结果为E,则上图中出现的E=0则没有惩罚。
若果c非常大,则模型分类更加精准,但支持向量到超平面距离小,容易出现过拟合。
若c=1,则支持向量到超平面距离最大化,尽管会出现一些分类误差,但这是一种较好的方案。
约束凸优化问题
为了克服约束凸优化问题,采用PEGASOS算法。
重新构造一个约束独立性方程:
上式表示,如果点远离直线,则误差将为零,否则误差将为(1-t(i))。
我们需要最小化的是:
由于消除了约束,因此可以采用梯度下降来最大程度地减少损失。
梯度下降算法计算损失:
在SVM上应用梯度下降:
非线性分类
使用SVM对非线性数据进行分类,需要将数据投影到更高的维度,即通过增加低维数据的特征向量将其转换为高维数据。
增加数据特征向量需要消耗巨大的计算资源,这里采用核函数。
而这种思路最难的点,是为你自己的模型选择一个合适的核函数。
这里推荐一种自动调参方法GridSearch。
将多种核函数(线性、RBF、多项式、sigmoid等)等标号,依次调用,找到一个最合适自己模型的。
定义一个变量params:
params = [{‘kernel’:[‘linear’, ‘rbf’, ‘poly’, ‘sigmoid’], ‘c’:[0.1, 0.2, 0.5, 1.0, 2.0, 5.0]}
调用:
以上详细介绍了SVM背后的数学原理,并提供了一些使用SVM模型时的问题解决办法。
其中,使用代码自动选择核函数的方法来自外国博主Daksh Trehan。
如果你对SVM的原理有更深刻的理解,或有其他实用的技巧,请留言分享给大家吧。
参考链接
https://medium.com/@dakshtrehan?source=post_page—–d46e94b23b9d———————-
- 中国汽车一哥加持,自动驾驶界「大疆」估值冲破百亿2025-11-26
- 神盾金砖电池成功挑战行业首个“整车+整包”带电六大极端测试2025-09-02
- 对话吉利技术一号位:VLA大模型打底,冲刺全球最大机器人公司2025-09-02
- 全新岚图知音正式上市,20.29万元起2025-08-28




