陶哲轩发新论文了,又是AI帮忙的那种
但首度“承认”:AI对其核心研究并不那么重要
丰色 发自 凹非寺
量子位 | 公众号 QbitAI
不到一个月的时间,陶哲轩又一篇论文上线:

这次是关于欧拉函数的单调非递减序列,他通过初等论证证明了一个名为M(x)函数的渐近式。
(即随着x增大,M(x)的行为趋势)
该函数在他之前的一篇博客中有所提及,大意是指一系列从1到x的数字中,满足欧拉φ函数是非递减的最长子序列的长度。

毫不意外,这篇论文的出产过程中也用到了AI。
不过,这次陶哲轩承认:
AI工具对他的核心研究并不那么有用(但他也表示可能是不想打破一些已有习惯去尝试)。
对他帮助最大的其实是编码和生成论文中的流程图初稿。

对于前者,陶哲轩已多次提及。
GPT可以让我不用去管计算任务中究竟用的是何种语言(Python还是SAGE、regex等),几乎只需用自然语言向它提出请求,它就能为我输出合格的代码(尽管我还得再编译一下)。
这真的开始改变我的工作流程。
过去由于我害怕困难,一直避免使用代码密集型的任务解决问题;现在,这种情况正在消失,我发现我变得愿意在日常工作中做一些编码。

那么,就来简单看看这次的论文究竟说了什么。
准备长脑子了咳咳。
欧拉函数的单调非递减序列
该论文研究主要涉及函数M(x), 它定义的是数字1到x的最长子序列的长度,在这个子序列中,欧拉函数ψ是非递减的。
(欧拉函数ψ(n)通常用于表示小于或等于n的正整数中与n互质的正整数的数量)
由于M的前几个值是:
1, 2, 3, 4, 5, 5, 6, 6, 7, 7, 8, 8, 9, 9, 10, 11, 12, 12, …
所以,举个例子:
M(6)就等于5。
因为欧拉函数在集合{1,2,3,4,5}或{1,2,3,4,6}上是非递减的,在{1,2,3,4,5,6}上不是。
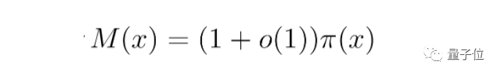
而由于对于任何素数p,ψ(p)=p-1,我们有M(x)≥π(x)。
其中π(x)是素数计数函数(用于表示小于或等于x的正整数中的素数的数量)。
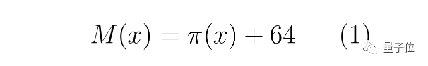
根据经验,这些素数非常接近M(x)的最大长度;Pollack, Pomerance和Treviño已通过数值计算推测出下式

中的x=10⁷ 。
相比之下,以前最著名的上限基本上是以下形式:

对于该式子,在显式常数C=0.81781中,x→∞。
而将该结果与上面的结果相结合,陶哲轩就得到了渐近式:

所以在特殊情况下:

它既回答了Erdős的问题,也回答了与Pollack, Pomerance和Treviño所密切相关的问题。
陶哲轩介绍,该证明所用方法大多数都很基础(解决数论中最先进结果所需的只是带有经典误差项的素数定理)。
基本思想是隔离给定数字1≤n≤x中的一个关键素因子p,因为它对欧拉函数有相当大的影响。
例如,对于“典型”数字n,可以因式分解为:

其中p2是中等大小的素数,p1是明显更大的那个,d则是一个所有素数因子均小于p2的数。这可得出:

因此,如果我们暂时保持d固定,并将n定位到相对较短的区间,那么ψ只能在n中是非递减的——如果p2也同时非递减。
事实证明,特别是在p2很大的情况下,这个方式显著减少了该机制中非递减序列的可能长度。
这个过程可以形式化,达成方式是通过将p的范围划分为各种子区间并检查它 (以及ψ上的单调性假设)如何约束与每个子区间相关联的n值。
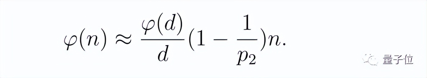
而当p2很小时,我们使用因式分解:

其中d非常“平滑”(即没有大素数因子),而p是大素数。我们得到近似值:

并得出结论:为了使ψ不变小,约等式右边的分数基本上必须是分段常数。
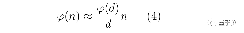
再进行一番更仔细的分析之后,我们就能证明初步不等式,最终对于所有正有理数q得到主要定理:

陶哲轩表示,这其实是一个“小奇迹”,与以下事实有关:
公式(4)中分母的大质因数最低项必然等于d的最大质因数,这使得我们能够非常准确地得出公式(5)的左边,从而轻松构建整个公式(5)。
在论文的最后一部分,陶哲轩还讨论了强猜想(1)的一些近似反例,这些例子表明,如果不假设一些“相当强的假设”,可能很难接近证明此猜想。

论文地址:
https://arxiv.org/abs/2309.02325
参考链接:
[1]https://mathstodon.xyz/@tao/111018835694062000
[2]https://terrytao.wordpress.com/2023/09/06/monotone-non-decreasing-sequences-of-the-euler-totient-function/
- 记忆张量 × 商汤大装置:国产 GPGPU 推理成本反超 A100!2025-12-04
- 云计算一哥10分钟发了25个新品!Kimi和MiniMax首次上桌2025-12-03
- 前端没死,AI APP正在返祖2025-12-02
- 北京产业国资领投,清微智能完成C轮融资2025-12-02




