“九章三号”光量子计算机问世!比超算快一亿亿倍,来自中科大潘建伟团队
1微秒=当今最快超算200亿年
丰色 发自 凹非寺
量子位 | 公众号 QbitAI
我国量子计算迎来新突破。
中科大官网消息:
新一代量子计算原型机“九章三号”成功研制,255个光子(比“九章二号”多了1倍多),计算能力刷新世界纪录。

具体有多强?
(1)处理高斯玻色取样的速度,比上一代“九章二号”还要快一百万倍,比目前全球最快超算(Frontier)则快上一亿亿倍;
(2)在1微秒(10的负6次方秒)内所处理的最高复杂度样本,如果换作全球最快超算来做,它得花超二百亿年(简单理解为1微秒=200亿年)。

网友表示:
这才是真的牛。

从意义上来看,中科大表示:
“九章三号”的诞生主要是进一步巩固我国在光量子计算领域(与之对应的是超导量子)的领先地位。

它背后的团队,仍由潘建伟、陆朝阳、刘乃乐等人(隶属中科大中国科学院量子信息与量子科技创新研究院)组成,外加共同合作方:中国科学院上海微系统所和国家并行计算机工程技术研究中心。
光量子计算机“九章三号”问世
“九章三号”成果目前已发表在《物理评论快报》(PHYSICAL REVIEW LETTERS)。

相较2021年诞生的“九章二号”,它有哪些改进?
中科大介绍:
其一,在理论上首次提出了包含光子全同性的新理论模型。
(全同性原理是量子力学基本假设:交换全同粒子体系中任意一对粒子的全坐标(包括空间坐标和自旋坐标),体系的状态不变。)
该模型实现了理论与实验的更精确吻合。
其二,发展了完备的贝叶斯验证和关联函数验证,全面排除所有已知的经典仿冒算法。
这主要是为量子计算优越性提供进一步数据支撑。
在这些改进之外,“九章三号”又是如何实现255个光子的呢?
要知道,“九章二号“光子为113个,而国际上第二个实现光学体系“量子计算优越性”的“北极光”(Borealis)量子处理器(加拿大Xanadu公司与美国国家标准局合作)为216个。
在此,潘建伟团队设计了一种时空解复用的光子探测新方法。
简单来说就是研制了一个基于光纤时间延迟环的超导纳米线探测器,用它来把多光子态分束到不同空间模式并通过延时把空间转化为时间。
通过这个准光子数可分辨的探测系统,团队得以提升光子操纵水平(255个光子),进而提升量子计算复杂度。

△ 实验装置示意图
最终,“九章三号”凭借以上改进实现了我们在文章开头所看到这一系列新的世界纪录。
当然,这样的量子计算机仍然只能解决高斯玻色取样等特定任务(经典计算机无法完成),在通用计算上还无法与超算相比。
而除了在特定任务上的计算性能大幅提升,“九章三号”还:
- 揭示了高斯玻色取样和图论之间的数学联系;
- 完成了对稠密子图和Max-Haf两类具有实用价值的图论问题的求解(比经典计算机精确模拟的速度快1.8亿倍);
- 以及在国际上首次演示出无条件的多光子量子精密测量优势。

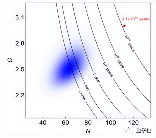
△ “九章三号”的计算复杂度需要花费超级计算机的时间
最后,“九章三号”的成果研制究竟有何意义?
在国际学术界,有一个量子计算机(分为光子和超导两种)三步走的发展路线。
其中第一步就是实现“量子计算优越性”,即通过对近百个量子比特的高精度量子调控,对特定问题的求解展现超级计算机无法比拟的算力。
回顾我国发展史:
2020年,具备76光子“九章”的诞生,使我国首次在国际上实现光学体系的“量子计算优越性”。
2021年10月,中科大潘建伟团队又研制出113光子的可相位编程“九章二号”,以及56比特的“祖冲之二号”超导量子计算原型机,使我国成为全球唯一在光学和超导两种技术路线都达到了“量子计算优越性”的国家。
不过在“九章二号”之后,2022年6年,219个光子的“北极光(Borealis)”量子计算机诞生,采样高斯玻色子的速度是2021年世界上最快超算Fugaku的7.8万亿倍,一下子超越了“九章二号”。

但竞争实在激烈,如今“九章三号”的诞生,则又很快结束了“北极光”量子计算机的短暂领先,让我国重回国际第一,并再次刷新计算性能纪录。

论文地址:
https://journals.aps.org/prl/issues/131/15
参考链接:
[1]https://quantum.ustc.edu.cn/web/index.php/node/1140
[2]https://s.weibo.com/weibo?q=%E4%B9%9D%E7%AB%A0%E4%B8%89%E5%8F%B7
- 北大开源最强aiXcoder-7B代码大模型!聚焦真实开发场景,专为企业私有部署设计2024-04-09
- 刚刚,图灵奖揭晓!史上首位数学和计算机最高奖“双料王”出现了2024-04-10
- 8.3K Stars!《多模态大语言模型综述》重大升级2024-04-10
- 谷歌最强大模型免费开放了!长音频理解功能独一份,100万上下文敞开用2024-04-10



