科研党狂喜!AI预测神经学研究结论超过人类专家水平 | Nature子刊
以后可以让AI帮忙一起做神经科学研究了
奇月 发自 凹非寺量子位 | 公众号 QbitAI
LLM可以比科学家更准确地预测神经学的研究结果!
最近,来自伦敦大学学院、剑桥大学、牛津大学等机构的团队发布了一个神经学专用基准BrainBench,登上了Nature子刊《自然人类行为(Nature human behavior)》。
结果显示,经过该基准训练的LLM在预测神经科学结果的准确度方面高达81.4%,远超人类专家的63%。
在神经学常见的5个子领域:行为/认知、细胞/分子、系统/回路、神经疾病的神经生物学以及发育/塑性和修复中,LLM的表现也都全方位超过了人类专家。
更重要的是,这些模型被证实对于数据没有明显的记忆。
也就是说,它们已经掌握了一般科研的普遍模式,可以做更多的前瞻性(Forward-looking)预测、预测未知的事物。

这立马引发科研圈的围观。
多位教授和博士后博士后也表示,以后就可以让LLM帮忙判断更多研究的可行性了,nice!



LLM预测能力全面超越人类专家
让我们先来看看论文的几个重要结论:
总体结果:LLMs在BrainBench上的平均准确率为81.4%,而人类专家的平均准确率63.4%。LLMs的表现显著优于人类专家

子领域表现:在神经科学的几个重要的子领域:行为/认知、细胞/分子、系统/回路、神经疾病的神经生物学以及发育/塑性和修复中,LLMs在每个子领域的表现均优于人类专家,特别是在行为认知和系统/回路领域。

模型对比:较小的模型如Llama2-7B和Mistral-7B与较大的模型表现相当,而聊天或指令优化模型的表现不如其基础模型。
人类专家的表现:大多数人类专家是博士学生、博士后研究员或教职员工。当限制人类响应为自我报告专业知识的最高20%时,准确率上升到66.2%,但仍低于LLMS。
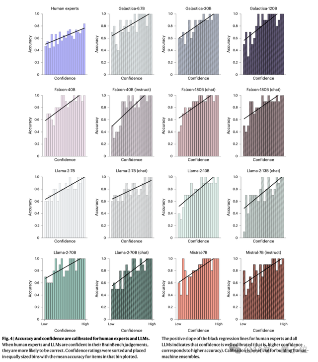
置信度校准:LLMs和人类专家的置信度都校准良好,高置信度的预测更有可能是正确的。

记忆评估:没有迹象表明LLMs记忆了BrainBench项目。使用zlib压缩率和困惑度比率的分析表明,LLMs学习的是广泛的科学模式,而不是记忆训练数据。
全新神经学基准
本论文的一个重要贡献,就是提出了一个前瞻性的基准测试BrainBench,可以专门用于评估LLM在预测神经科学结果方面的能力。

那么,具体是怎么做到的呢?
数据收集
首先,团队利用PubMed获取了2002年至2022年间332807篇神经科学研究相关的摘要,从PubMed Central Open Access Subset(PMC OAS)中提取了123085篇全文文章,总计13亿个tokens。
评估LLM和人类专家
其次,在上面收集的数据的基础上,团队为BrainBench创建了测试用例,主要通过修改论文摘要来实现。
具体来说,每个测试用例包括两个版本的摘要:一个是原始版本,另一个是经过修改的版本。修改后的摘要会显著改变研究结果,但保持整体连贯性。
测试者的任务是选择哪个版本包含实际的研究结果。
团队使用Eleuther Al Language Model EvaluationHaress框架,让LLM在两个版本的摘要之间进行选择,通过困惑度(perplexity)来衡量其偏好。困惑度越低,表示模型越喜欢该摘要。
对人类专家行为的评估也是在相同测试用例上进行选择,他们还需要提供自信度和专业知识评分。最终参与实验的神经科学专家有171名。
实验使用的LLM是经过预训练的Mistral-7B-v0.1模型。通过LoRA技术进行微调后,准确度还能再增加3%。

评估LLM是否纯记忆
为了衡量LLM是否掌握了思维逻辑,团队还使用zlib压缩率和困惑度比率来评估LLMs是否记忆了训练数据。公式如下:

其中,ZLIB(X)表示文本X的zlib压缩率,PPL(X)表示文本X的困惑度。
部分研究者认为只能当作辅助
这篇论文向我们展示了神经科学研究的一个新方向,或许未来在前期探索的时候,神经学专家都可以借助LLM的力量进行初步的科研想法筛选,剔除一些在方法、背景信息等方面存在明显问题的计划等。
但同时也有很多研究者对LLM的这个用法表示了质疑。
有人认为实验才是科研最重要的部分,任何预测都没什么必要:

还有研究者认为科研的重点可能在于精确的解释。

此外,也有网友指出实验中的测试方法只考虑到了简单的AB假设检验,真实研究中还有很多涉及到平均值/方差的情况。

整体来看,这个研究对于神经学科研工作的发展还是非常有启发意义的,未来也有可能扩展到更多的学术研究领域。
研究人员们怎么看呢?
参考链接:
[1]https://www.nature.com/articles/s41562-024-02046-9#author-information
[2]https://github.com/braingpt-lovelab/BrainBench
- 打脸!GPT-4o输出长度8k都勉强,陈丹琦团队新基准测试:所有模型输出都低于标称长度2025-01-15
- 好家伙,海螺直接拍了个AI版的《教父》2025-01-10
- 2025-01-08
- 用大模型吃瓜更智能了!阿里通义实验室提出新时间线总结框架2025-01-07




