GitHub Copilot让陶哲轩感到“不安”
可正确预测数学论证步骤
金磊 发自 凹非寺
量子位 | 公众号 QbitAI
GitHub Copilot,又一次被数学大神陶哲轩“点名”了:
我发现GitHub Copilot在撰写我最近博客文章的过程中非常有帮助。
它能够正确地预测那篇文章中数学论证的几个步骤。

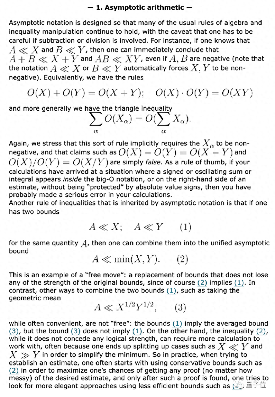
并且陶哲轩还给出了一个具体的案例做阐述。

例如在上面这个例子中,陶哲轩先是将一个积分分成了三块。
然后他用语言描述了如何对第一块的内容做估计,以及说明了一下如何估计剩下两块的内容。
接下来,就到了GitHub Copilot登场的时刻了。
它基于陶哲轩给出的内容,“啪的一下”,就提出了一大长段的建议内容。
陶哲轩对此表示:
虽然Copilot给出的建议不都是可用的,但最终,我估计有十几句是被我用到了博客文章里。
总而言之,这个工具给我留下了非常深刻的印象(并且有点让我不安)。
网友在看到陶哲轩的安利之后也表示赞成,认为GitHub Copilot对非编程相关的内容也是一个非常好的文本工具。

而这并不是陶哲轩第一次给AI工具“带盐”了,在此之前,他便已经推荐过GPT-4、VSCode等等。
那么这次在GitHub Copilot的加持之下,陶哲轩又完成了怎样的一项工作?
我们继续往下看。
Copilot帮忙写的数学博客
这篇数学博客名为Bounding sums or integrals of non-negative quantities,即估计非负量的和或积分的上界。

在数学中,我们经常需要估计某个量的大小,特别是当这个量是由一系列非负项组成的时候。
例如,在数学分析、概率论、组合学等领域中,经常需要估计函数、序列、集合等的和或积分。
因此,估计非负量的和或积分的上界是一个重要的数学问题。
接下来,陶哲轩介绍了一些估计非负量的和或积分的上界的常用方法,包括算术平均值-几何平均值不等式、Holder不等式、Markov不等式等。
这些方法在数学中非常常用,可以用来估计各种数学量和问题的上界。
而在这篇博客中,陶哲轩主要是利用这些简单的数学原理,来估计非负量的和或积分的上界。



最后,文章总结了估计非负量的和或积分的上界的方法和技巧,并强调了它们在各个领域中的应用。
这些方法不仅可以用于解决具体的数学问题,还可以在其他领域中应用,例如:物理学、工程学、经济学等。
因此,这篇文章对于理解非负量的和或积分的估计方法以及它们在各个领域中的应用具有重要意义。

那么最后,你觉得这篇文章里,哪些内容是由GitHub Copilot完成的呢?
参考链接:
[1]https://mastodon.social/@tao@mathstodon.xyz/111158220516679670
[2]https://terrytao.wordpress.com/2023/09/30/bounding-sums-or-integrals-of-non-negative-quantities/
- 何必DiT!字节首次拿着自回归,单GPU一分钟生成5秒720p视频 | NeurIPS’25 Oral2025-11-14
- 2张4090竟能本地微调万亿参数Kimi K2!趋境联合清华北航把算力门槛击穿了2025-11-05
- 洋葱学园发布「自学破壁计划1.0」:多智能体架构落地推进AI自主学习2025-11-05
- 今年双11,聪明人都在偷偷换AI PC2025-11-01




