浙大6C快充登Nature:10分钟高速充放,漠河寒冬也不怕
超宽温域,稳定,高性能
曹原 发自 副驾寺
智能车参考|公众号AI4Auto
锂离子电池新突破来了!
应用新电解液的液态锂电池,10分钟内能完成充放电,室温下离子电导率提高4倍。
同时还拥有超宽工作温域,下至-70℃上至60℃,就算是漠河的魔鬼天气,都能稳定工作。
这项新研究成果来自浙江大学,论文已登Nature。

新锂离子电解液:10分钟快速充放
随着气温逐渐回暖,“电动爹”开始没那么难伺候。
虽说各新能源车企为了保证冬季续航使出浑身解数,但低温环境下,锂电池化学反应变慢,甚至极低温度时电解液冻结,电池性能下降是不争的事实。
并且除了低温,高温环境同样会影响液态锂离子电池的工作速率。

这其中一个重要因素就是电解质。
众所周知,电池充放电的速率和锂离子在电池中移动的速度有关。
以低温环境为例,当环境温度低于-20℃时,电解液黏度增加(也就是逐渐凝固的过程),导致锂离子移动速度下降,即锂离子电导率下降。
同时,因为液态锂离子电池首次充放电过程中,电极和电解液在接触面上会形成一层钝化层,也就是SEI膜。

虽然SEI膜可以防止电解液的溶剂分子进入损坏电极,但在低温环境下,这层SEI膜会越来越厚,阻抗增加,也会降低锂离子电导率。
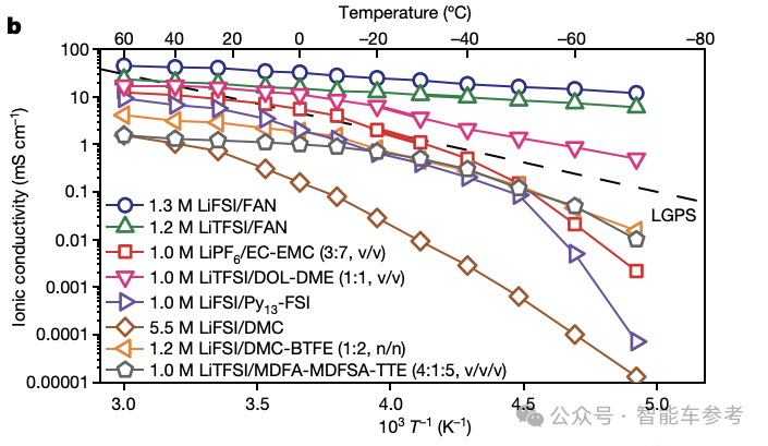
但浙江大学团队提出的这种电解液,基于FAN氟乙腈,从-70℃到60℃,都能保证很高的离子导电率。

比如在-70℃,FAN电解质的电池也能达到11.9mS/cm的高离子电导率,高于传统碳酸盐电解质四个数量级以上,超越该态离子电导率最高的电解质。
并且还具有稳定性。在60℃,以6C的速率进行充放电循环,使用FAN电解液的锂离子电池,循环600次后电池容量还保持在80%。

而在电池容量均为1.2Ah时,无论是多次循环还是温度降至-80℃,只有使用FAN电解液的锂离子电池还能够提供一定的可逆容量。

即使是在一般情况,即25°C时,使用FAN电解液的电池最高实现40.3mS/cm的超高离子电导率,高于典型电解液四倍多。

也就是说,这种新型电解液让锂离子电池具备超宽工作温域的同时,还能保证稳定、循环工作,性能和传统碳酸盐电解液相比有很大提升。
团队表示,在同等条件下,使用FAN电解液的电池可以实现充电10分钟,电量充到80%,快充性能优异。
那么,为什么是FAN电解质?
配体通道促进传输机制
想要在极端温度情况下保证电池性能,也就是保证锂离子的移动,或者说传导速率,那么首先需要了解的是现有传导方式的优缺点。
当前在碳酸盐电解液中,锂离子主要有两种传导方式,载体传输(Vehicular Transport)和结构传输(Structural Transport),或称跳跃传输(Hopping Transport)。
载体传输时,溶剂分子在锂离子外形成一个溶剂化鞘(solvation sheath),这个复合物整体包着锂离子在电解液中移动,相当于一个载体带着锂离子。

也就是说,在载体传输时,锂离子的移动速度取决于溶剂化鞘的移动速度。
结构传输则是锂离子在溶剂分子和阴离子之间跳跃,从而进行移动,锂离子的移动速度则取决于电解液的浓度。

而载体传输虽然能在低浓度电解液中实现高离子导电性,并且能够形成稳定的SEI膜,但是低温、电解液浓度过高会让溶剂化鞘移动速度下降,降低锂离子传导速度。
结构传输则在高浓度电解液中更有效,并且在某些情况下,锂离子的高速移动还会破坏SEI膜,影响电池性能。
所以,有没有一种方式或者是材料,能够同时满足锂离子能高速移动,同时拥有宽工作温域呢?
浙大团队在筛选溶剂时,发现FAN,即氟乙腈溶剂同时具有低溶剂化能,低锂离子传输能垒和小分子尺寸溶剂的特点。
△来源:浙江大学也就是说,在FAN溶剂中,锂离子与溶剂分子之间作用力弱,只需较少能量就能快速移动,在低温情况下也能稳定移动。
同时溶剂分子尺寸小,溶剂化鞘小,可以与锂离子相互作用并调节溶剂化结构,形成连续的锂离子运输配体通道,促进锂离子的化学反应。

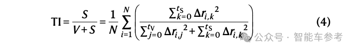
团队由此提出配体通道促进传输机制的概念,并引入传输指数(TI)这一参数,来量化锂离子的传输行为。

当TI=0时,锂离子传输通过载体传输方式;当TI=1时,锂离子则通过结构传输;而在一种电解质的TI等于0.5时,该电解质能明显促进配体通道传输。
团队认为,TI可以作为设计具有超离子态理想电解质的有效参数。
浙大团队不仅发现了FAN这种能实现宽工作温域、高稳定性、高性能的电解液材料,还提出衡量电解液离子传导能力的新参数。
研究团队介绍
论文研究团队主要来自浙江大学,并且不乏教学科研经历兼备的资深教授、研究员。
第一作者为浙江大学材料科学与工程学院陆迪博士,和李如宏研究员。
△右一:陆迪,来源:浙江大学李如宏博士毕业于哈尔滨工业大学,后来到浙江大学开展博士后研究工作。

现在是浙江大学杭州国际科创中心创新研究院研究员、博士生导师,已经发表SCI论文60余篇,被引超过1200次。
其他作者Ling Lv、Yiqiang Huang、Chuangchao Sun、Shuoqing Zhang、Haikuo Zhang、Junbo Zhang、Sheng Yang、陈立新教授、范利武长聘副教授、肖学章副教授也均来自浙江大学。
另外,还有来自美国橡树岭国家实验室的Muhammad Mominur Rahman博士,中国科学院的Pengyun Yu、王建平研究员,以及马里兰大学邓涛博士。
本文的通讯作者包括三位,来自浙大的范修林研究员,马里兰大学王春生教授和布鲁克海文国家实验室的胡恩源教授。
△范修林范修林研究员特别指出,这种FAN电解液材料制造的电池成本还比较高,可以先应用于极地科考、空间探测、海底勘探等极端温度情况。
不过随着电解液技术的迭代,范修林研究员认为这种锂离子电池足够应用进新能源汽车,并且团队已经和相关企业展开合作。
等到真的大规模上车的那一天,即使在冬天,电动车也不会是轻易掉电、续航打折的“电动爹”了。
- 哪吒冲刺港交所IPO,上市起点碾压蔚小理,然而一步慢步步慢2024-06-28
- 注意,北京无人车接送机不免费了2024-06-28
- 广东造车新势力,爆雷了2024-06-25
- 百亿造车新势力破产清算!市值缩水超99%,欠债超10亿,债权人还吵起来了2024-06-24




