Bengio精简了传统RNN,性能可与Transformer媲美
Were RNNs All We Needed?
金磊 发自 凹非寺
量子位 | 公众号 QbitAI
深度学习三巨头之一的Yoshua Bengio,刚刚发布了一篇有趣的新论文——
RNN就是所需的全部吗?
Were RNNs All We Needed?

不仅论文的名字有意思,其结论更是精彩。
研究表明,精简十几年前的RNN们,性能上可以与最近序列模型(如Transformer等)相媲美!

具体而言,Bengio等人重新审视了诸如LSTM(1997)和GRU(2014)这些传统的RNN,认为这些模型的缺点是由于需要时间反向传播 (BPTT) 而导致速度较慢。
所以他们直接大刀阔斧地移除了LSTM和GRU中的隐藏状态依赖,让它们不再需要BPTT,从而可以高效地并行训练。
而精简改良版的RNN们,名字分别叫做minLSTM和minGRU。
它们和传统RNN相比,不仅训练时所需的参数量大幅减少,并且完全可并行化。
嗯,是颇有一种大道至简的感觉了。
那么Bengio等人具体又是如何实现的?我们继续往下看。

精简版RNN
Transformer和它的变体们可以说是近几年大热的架构,但与此同时缺点也是较为明显,那便是在处理长序列时的计算复杂度问题。
具体来说,Transformer模型在序列长度上的计算复杂度是二次方的,这使得它在处理长序列时资源的消耗就比较高。
因此就需要能够在训练时有效地处理长序列,同时在推理时保持高效性能的替代方案——简化版的RNN。
这个过程的关键便是隐藏状态依赖,让它们不再需要BPTT,让效率直接飙升。
minGRU
首先我们来看下Bengio团队对GRU的处理,即minGRU,总共分为2步。
第一步,去除之前隐藏状态的依赖。
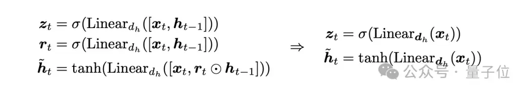
在传统的GRU模型中,更新门zt和候选隐藏状态h~t的计算依赖于前一时刻的隐藏状态 ht-1。这导致模型在训练时无法实现并行处理,因为每个时间步的计算都依赖于前一个时间步的结果。
为了解决这个问题,minGRU对GRU进行了修改,使更新门和候选隐藏状态的计算仅依赖于当前时刻的输入xt,而不依赖于ht-1:

通过这种方式,minGRU的每一时刻的计算可以独立于其他时刻并行执行。
第二步,去除候选状态的范围限制。
在第一步中,候选隐藏状态h~t仍然使用双曲正切函数(tanh)来限制其值的范围在 [−1,1][−1,1] 之间。虽然这有助于模型的稳定性,但它并不是并行化所必需的。
minGRU进一步简化模型,去除了对h~t的范围限制,将其替换为一个无需激活函数的线性变换:

这样,候选隐藏状态的计算变得更加简单,并且没有任何范围限制。
在这种结构下,minGRU不仅减少了模型参数,而且可以利用并行扫描算法在训练时实现并行化,从而显著提高了处理长序列的速度。
此外,minGRU的输出尺度在时间上是独立的,这有助于优化过程中的数值稳定性。整体变化如下:

minLSTM
接下来,我们再来看下Bengio团队对LSTM的处理,即minLSTM,共分为三步。
第一步,去除之前隐藏状态的依赖。
在传统的LSTM模型中,遗忘门ft、输入门it和候选细胞状态c~t的计算依赖于前一时刻的隐藏状态ht-1。
这导致模型在训练时无法实现并行处理,因为每个时间步的计算都依赖于前一个时间步的结果。
为了解决这个问题,minLSTM对LSTM进行了修改,使遗忘门、输入门和候选细胞状态的计算仅依赖于当前时刻的输入xt,而不依赖于ht-1:

通过这种方式,minLSTM的每一时刻的计算可以独立于其他时刻并行执行。
第二步,去除候选状态的范围限制。
在第一步中,候选细胞状态c~t仍然使用双曲正切函数(tanh)来限制其值的范围在 [−1,1][−1,1] 之间。虽然这有助于模型的稳定性,但它并不是并行化所必需的。
minLSTM进一步简化模型,去除了对c~t的范围限制,将其替换为一个无需激活函数的线性变换:

这样,候选细胞状态的计算变得更加简单,并且没有任何范围限制。
第三步,确保输出在时间上是独立的。
在许多序列建模设置中(例如文本生成),优化目标/输出在时间上是独立的。
为了确保LSTM的输出在时间上是独立的,minLSTM对遗忘门和输入门进行了归一化,确保它们的和为1,并且细胞状态的尺度在时间上是独立的:

通过这种方式,minLSTM确保了其输出在时间上是独立的,这有助于优化过程中的数值稳定性。
minLSTM的最终形式为:

Were RNNs All We Needed?
在精简了RNN们之后,Bengio团队也展示了实验结果。
例如下图显示了minGRU、minLSTM和Mamba模型在训练效率方面的比较,具体包括训练运行时间、加速比和内存占用。
这些指标是在T4 GPU上,以64的批次大小进行测量的:

以及在下图中,还展示了在Shakespeare语言建模任务中,不同模型的学习曲线。
这个任务使用字符级生成对抗训练,目的是评估模型在文本生成任务中的表现,简化RNN模型在处理语言建模任务时具有较好的有效性和高效率(特别是在需要快速训练和部署的应用场景中):

总而言之,Bengio团队认为,经过简化的RNN可能仍然是处理长序列任务的理想选择,尤其是在资源有限的场景下,因此也提出了问题 “Were RNNs All We Needed?”
华人一作
在这项研究中,作者除了Bengio之外,还有一点值得关注,那便是一作是一位华人,Leo Feng。

从公开的个人网站来看,Leo Feng师从Bengio,目前是蒙特利尔大学的博士生,目前正在Borealis AI进行研究实习。
Leo Feng的研究范围包括元学习和高效模型的设计,其本科毕业于牛津大学。
那么你觉得精简版RNN这项研究如何?欢迎在评论区留言讨论。
论文地址:
https://arxiv.org/abs/2410.01201
- 前端没死,AI APP正在返祖2025-12-02
- 华为新架构砍了Transformer大动脉!任意模型推理能力原地飙升2025-12-06
- 记忆张量 × 商汤大装置:国产 GPGPU 推理成本反超 A100!2025-12-04
- 云计算一哥10分钟发了25个新品!Kimi和MiniMax首次上桌2025-12-03




