东南大学LK99零电阻观测成功!常压110K以下,团队:可能是存在超导的证据
但尚未确认超导
金磊 发自 凹非寺
量子位 | 公众号 QbitAI
家人们,物理界的“顶流”室温超导,又有重磅消息来了。
就在今天凌晨,东南大学物理学院超导研究团队的孙悦教授在B站发布最新结果——
LK99,在常压110K(-163℃)以下成功观测到了零电阻!
用孙教授的话来说:
可能是存在超导的证据,但是是否超导还有待进一步实验确认。

值得强调的一点是,这项研究并不意味着证实或发现室温超导。
不过这并不影响它的价值和意义,正如华南理工大学洗芝溪教授在知乎中的评价:
非常震撼,甚至比前两天华科的结果还要震撼;远超预期!

因此这项研究同样引来了不少的围观,截至发稿,已有XXX万的播放量。
接下来,我们继续深入了解一下。
(注:本文内容已经过孙悦教授授权。)
110K成功观测零电阻
在发布的视频中,孙悦教授打开了论文,以“看图说话”的方式展开讲解。
首先是一张X射线衍射(XRD)实验结果的图表:

其中,左侧的(a)和(b)表示的是两种前驱物的XRD结果;右侧的(c)则是四个样品的XRD结果。
将它们与韩国团队此前发布的结果做比较后可以发现,XRD是非常吻合的,并且孙教授表示:
我们比他们的样品更加纯净一些,(从结果上)可以看到Cu2S的峰已经很小了。

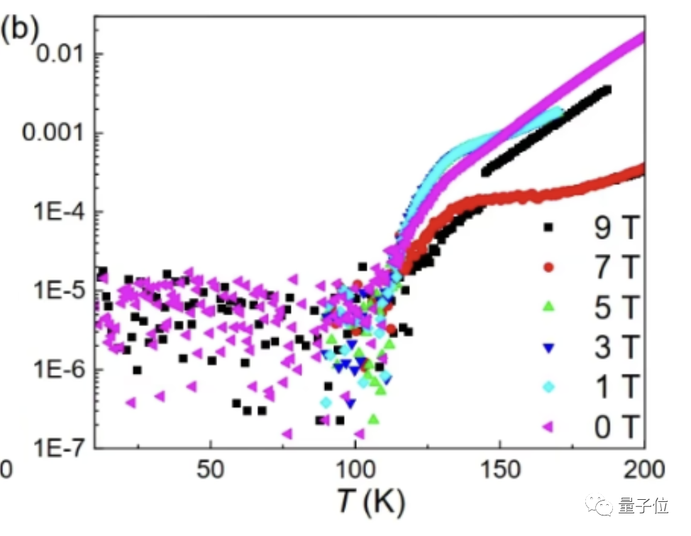
接下来便是此次实验的重头戏——零电阻结果。
团队是从300K开始一直往低温开始测的,通的电流是1毫安,所得到的结果如下所示:

孙教授表示,测试所用的样品本身比较脆,很难把它弄成一个规则的形状(同时也是为了节省时间);因此在样品处于不规则形状的情况下,采用四引线法进行了电阻率的测量。
从实验结果上来看,材料在高温情况下出现了半导体行为,而关键是到了110K的时候,样品的电阻基本上降到了0!

至于在250K的时候电阻率有个奇怪的下降,孙教授给出的解释是:
有可能是电极做的可能不是很干净。
同样的,在这次实验中团队把磁场加入了进来,对样品的超导转变进行了测量。
从结果上来看,样品的超导转变还是比较稳定,TC Zero只有一点点的变化。

孙教授表示:
我们其实在8月1日的下午就已经看到了类似于超导转变的电阻陡降行为,但那时候我们电阻并没有到0。
所以我们后来又加紧挑选样品,一共测试了6片样品,但只有在一片样本上观测到了零电阻;其它则是半导体行为。
此外,对于这个零电阻样本,我们还做了迈斯纳效应的测量,并没有观测到完全抗磁性。
因此,我们猜测,样品里面零电阻是超导造成的,那么超导组分还是比较低的。
未证实室温超导,但也是进步
正如我们刚才提到的,孙教授团队此次的实验并不是室温,而是110K以下。
但其最大的意义是“证实了LK99确实是有东西的,值得科学家们进一步去研究”。正如B站Up主“图灵的猫”所述:

不过也有网友对此次实验结果的精度提出了质疑,对此,华南理工大学洗芝溪教授认为:
这个不需要纠结,PPMS是世界通用的物性测量系统,测到了它的检测限没有电阻,就是零电阻,这是公认的。
一般来讲,电阻从室温往下掉,能有三四个数量级的下降,就已经可能存在超导了,东大的结果比这还好。
除此之外,对于转变温区过宽的问题,洗芝溪教授也做出了解释:
这是高温超导的常态,即使是ybco块材,也有个10几K的转变区间,混合相的宽度很宽。
所谓的混合相,有时候也叫预配对相,就是Cooper对已经出现了,但因为有涡旋流的钉扎,还没有完全凝聚的状态。完全凝聚了就是迈斯纳相。

并且洗教授对这项实验给予了肯定:
不管怎样,这已经是非常非常振奋人心的结果。把畅想的幅度,可以稍微调大那么一丢丢。
最后,孙教授团队的论文已经向arXiv提交,感兴趣的小伙伴可以蹲一波了。
One More Thing
就在昨天下午,韩国超导与低温学会 (KSSC) 成立了一个验证委员会来验证 LK-99 样本:

除此之外,昨晚曲阜师范大学首次对抗磁性LK-99进行了电阻测试。
测试结果发现该样品在常温到50K(-223.16℃)低温范围内仍存在大的电阻值,测试过程中并没有出现电阻大幅度骤降或者零电阻。
对此,根据界面新闻的报道,曲阜师范大学物理工程学院教授刘晓兵表示:
对于网友提到的LK-99是人类磁悬浮技术的最好材料这个说法,需要保持理性和客观对待,任何新材料从发现到最后的大规模应用都有很长的路要走。何况目前对LK-99这个材料的认识还很有限。
对于室温超导这个“全球顶流”,我们还需且行且观察。
参考链接:
[1]https://www.bilibili.com/video/BV1pM4y1p7u5/?spm_id_from=333.337.search-card.all.click&vd_source=7db76f4680fb17cddf55f19665bb2efd
[2]https://www.zhihu.com/question/615350352/answer/3147560576
[3]https://www.reddit.com/r/singularity/comments/15g63n1/the_korean_society_of_superconductivity/
[4]https://mp.weixin.qq.com/s/0pfcfy4h9NJ2MkOL7_LjRQ
- 记忆张量 × 商汤大装置:国产 GPGPU 推理成本反超 A100!2025-12-04
- 云计算一哥10分钟发了25个新品!Kimi和MiniMax首次上桌2025-12-03
- 前端没死,AI APP正在返祖2025-12-02
- 北京产业国资领投,清微智能完成C轮融资2025-12-02




